每周一品
>
学 术 >
每周一品 >
每周一品之一一四:北京艺术博物馆藏《最新北京全图》
每周一品之一一四:北京艺术博物馆藏《最新北京全图》

图1,北京艺术博物馆藏《最新北京全图》
古代北京城市地图,流传下来并保存至今约几十种,且以清代绘制为主。民国以后,地图的出版和使用达到了前所未有的发展,地图从官方走向了民间,走进了大众日常生活。北京艺术博物馆藏《最新北京全图》详细记录了民国时期北京城的整体面貌。城区部分按照内城六区、外城五区方式标注了分区。图例标注城门城墙、铁道、电车路等21项,另以颜色标注教育机关、慈善事业、机关团体、古迹名胜和著名处所五类机构位置,方便游客寻访。
围绕地图的游览指南共分十个部分:北京史略、北京城垣、九坛八庙、燕京八景、游览胜地、戏院地点电话一览、电影影院地点电话一览、电车路线票价一览、新旧市场位置及概况、特殊工艺制造品(景泰蓝、地毯、玉器古玩、墨盒铜章)。主图下部附《四郊名胜详图》和《颐和园名胜图(附颐和园形势图)》。
图中未注明地图的出版时间,我们可以根据图中“电车路线票价一览表”大致可推测制图时间。

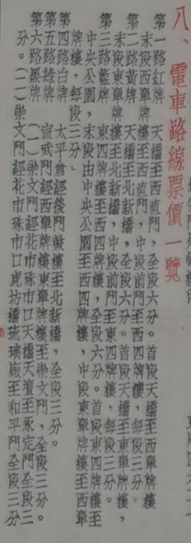
图2
如图2所示,当时的电车共有六条线路,其中“第六路”分为(一)(二)两段。各线路票价根据路程长短,有全段票价和分段票价两种。
图2,1924年有轨电车在北京大街上行驶
据记载,1921年北京电车公司成立。1927年公共电车线路增加至五条。1930年7月14日正式开行第六路。1938年1月1日,增加崇文门经磁器口、珠市口、天桥至永定门路线,称“新六路”或第六路“南行车”。至1939年5月,第六路南行车改由天桥至永定门,改称为第七路。票价上来说,1937年12月1日电车票制改为两段制,一段票价三分,两段票价六分,与图中相符。1939年5月1日废止分段制,改行联运制,票价一律五分。由此可以确定,此图绘制的时间应当在1938年1月“新六路”设立至1939年5月实行分段票价期间。

图3,1929年北京街上的有轨电车
电车的开行方便了城市居民的出行,使城市的交通发生了革命性的变化,推动中国的城市走上了现代化之路。传统的人口结构、城市发展模式和人们生活方式都出现了阶段性变革。同时,电车还加快了城市的人口流动,拓宽了市民的日常生活空间。皇家禁苑逐渐开辟为公共公园,原有由城墙围合的封闭空间也逐渐走向开放。现代与传统两种文化表征在北京的城市空间中实现了共存。古老的交通方式与现代化的电车并存就成了民国北京一道独特的风景。

 上一篇
返回